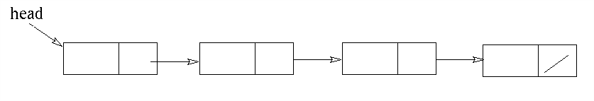
struct NodeT {
int data;
NodeT * next;
}
...
#define LIST_T
struct NodeT;
class ListT{
...
private:
NodeT * Find(int key) const;
size_t size;
NodeT * head;
NodeT * current;
};